¿Tiene alguna consulta? +51 947398042
Teléfono: +51 947398042 Email: info@aypsoluciones.com.pe

El Atributo Sísmico de Coherencia

23 de mayo 2022

Un atributo sísmico, es cualquier medida de los datos sísmicos, que nos ayude a realzar visualmente o cuantificar características de interés en la interpretación (Chopra y Marfurt, 2007). Si bien es cierto que existen una inmensa cantidad de atributos sísmicos utilizados hoy en día en la exploración y explotación de hidrocarburos, los catalogados como atributos geométricos, son aquellos que nos ayudan en la detección de discontinuidades estratigráficas (e.g. Bordes de canales), estructurales (e.g. Fallas y fracturas) y plegamientos. Algunos de los atributos geométricos son: “dip”, “azimuth”, coherencia y curvatura volumétrica; en particular, los atributos de coherencia y curvatura son sensibles en la detección de fallas y fracturas, incluyendo aquellas que se encuentran por debajo de la resolución de la sísmica.

Coherencia, es una medida de la similitud de las formas de onda traza a traza. Trazas similares (formas de onda) son mapeadas con altos coeficientes de coherencia, mientras que las discontinuidades tienen bajos coeficientes (Chopra, 2002). Existen distintos algoritmos para medir la coherencia de datos sísmicos 3D, tales como: Coherencia basada en Correlación Cruzada (Bahorich y Farmer, 1995), Coherencia basada en semblanza (Marfurt, Kirlin, Farmer y Bahorich, 1998) y el algoritmo “eigenstructure” (Gerstzenkorn y Marfurt, 1999); estos dos últimos algoritmos producen mejores resultados, ya que utilizan una mayor cantidad de trazas en la ventana espacio-temporal de análisis y requieren de los valores del “Dip” y “Azimuth” en cada punto del volumen sísmico como entrada para su óptimo cálculo. En la Figura, modificada de Gersztenkorn y Marfurt, (1999), se observa como con la evolución del algoritmo de coherencia, se mejora la detección de eventos geológicos de interés.

Fuente: Jiménez P. (2017). Caracterización Sísmica de los Sistemas de Fracturas de la Formación Cerro Prieto – Grupo Amotape, en el Campo San Pedro Este, Cuenca Sechura – Perú.

Foraminíferos

26 de abril 2022

Los foraminíferos son animales unicelulares marinos que segregan una concha llamada test, a través de la cual se extienden proyecciones de la misma célula en forma de pseudópodos. La morfología de las conchas o caparazones de los foraminíferos varía enormemente, éstas pueden estar formadas por una o varias cámaras. De acuerdo a su forma de vida pueden ser bentónicos (la gran mayoría de ellos) o planctónicos. Los primeros viven sobre el fondo marino, y pueden ser epifaunales (si viven sobre el sustrato o dentro de los primeros mm de sedimento) o infaunales (si viven hasta unos 10 cm dentro del sustrato). Los planctónicos viven flotando en la columna de agua, generalmente entre los 10 y 50 m por debajo de la superficie, alimentándose de los nutrientes existentes en ella (algas, bacterias y otros organismos protistas) y cuando mueren, sus conchas caen al fondo de los mares.

El arreglo de las cámaras de foraminíferos puede variar de acuerdo a diversos patrones de enrollamiento que se generan a partir de la primera cámara (prolóculo). En la imagen se muestran varios ejemplos de ellos, en base a los esquemas modificados de Loeblisch y Tappan (1964). Existen: conchas unicamerales (1a), conchas uniseriales (1b), biseriales o arqueadas (1c), y triseriales (1d), enroscadas de forma planoespiral (1e, 1f); planoespiral evoluta (1e); planoespiral involuta (1f); planoespiral fusiforme (1g); trocoespiral, cuando las cámaras están dispuestas en una espiral helicoidal (1h, 1i, 1j); estreptoespiral, si el enrollamiento es irregular en varios planos (1k); anular (1l); orbitoídida (1m), y en los quinqueloculínidos, cada 144° con cinco cámaras visibles (1n).

Fuente: Ayala R. (2014). Diversidad de Foraminíferos: Animales Unicelulares de Importancia Estratigráfica y Económica.

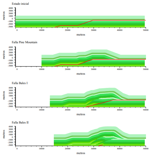
Modelo de Evolución Cinemática en Anticlinales

12 de abril 2022

La cinemática se expresa como el movimiento de los cuerpos, sin tomar en cuenta la causa de su movimiento, y los anticlinales son pliegues en forma de arco, producido en las rocas, en el que las capas de roca son convexas hacia arriba. Lebinson y otros autores, proponen un modelo de evolución cinemática en el extremo septentrional de la faja corrida y plegada del Agrio que se destaca por presentar diversos estilos de pliegues relacionados a fallas, el modelo se puede generar a partir de secciones balanceadas en un forward modeling, con la finalidad de ilustrar y entender la secuencia de deformación relativa entre las estructuras interpretadas. En la figura se ilustra un modelo esquemático de la evolución cinemática de los anticlinales de distinto orden que forman la parte occidental de la sección estructural y la vinculación espacial y temporal entre los anticlinales Rahueco, Cerro Pitrén y Truquico; a) Estadio inicial sin deformar; b) Desarrollo de una cuña de basamento, c) Formación de una segunda cuña de basamento que produce el desarrollo final del anticlinal Cerro Pitrén, mediante un fallamiento tardío que se propaga secuencia arriba en las rocas sedimentarias plegadas, y transmite desplazamiento generando las estructuras en el extremo oriental de la sección; d) Modelo de un pliegue por flexión que evoluciona a un pliegue por propagación de falla.

Fuente: Lebinson F., Turienzo M., Sánchez N., Araujo V. y Dimieri L. (2015). Geometría y Cinemática de las Estructuras Tectónicas en el Extremo Septentrional de La Faja Corrida y Plegada Del Agrio, Cuenca Neuquina. Revista de la Asociación Geológica Argentina.

Registros en Formaciones Clásticas Tipo Archie

05 de abril 2022

Los procedimientos petrofísicos interpretativos usualmente son descritos en términos de un yacimiento clástico idealizado, se refiere a un yacimiento tipo “Archie”, y se le denomina así ya que se involucran las ecuaciones fundamentales de Archie que proveen las bases cuantitativas para el análisis de registros (Archie 1942). El conjunto de registros utilizados en la evaluación de yacimientos tipo Archie comprende el registro de Rayos Gamma Espectral y Potencial Espontáneo (SP), registros de Densidad y Neutrón, registros Laterolog, de Inducción, y registros Sónicos.

El diagrama representa el flujo de trabajo simplificado para la evaluación petrofísica de yacimientos tipo Archie a través de registros geofísicos apoyados por análisis de núcleos, en donde m y n requieren ser independientes de la salinidad del agua.

Fuente: Worthington y Gaffney (2011). The petrophysics of problematic reservoirs. SPE. Vol. 63. No. 12.

Tipos de Indicadores Cinemáticos

22 de marzo 2022

Los indicadores cinemáticos son rasgos de origen tectónico que permiten determinar el sentido del desplazamiento en zonas de cizalla y fallas. Estos rasgos son visibles desde escala microscópica hasta megascópica. Existen tres tipos de indicadores cinemáticos en fallas con comportamiento frágil que son:

Criterios T: En este tipo sólo se observan fracturas repetidas del tipo tensional, sin estrías. No representan fracturas de cizalla, sino que son fracturas netamente tensionales. Son de dos tipos: aquellas fracturas planas y en forma de hoz, cuyas puntas van en el sentido del movimiento del bloque faltante. En la figura se observa distintos tipos de fracturas secundarias asociadas a un plano de falla principal M.

Criterios R: Este tipo comprende las fallas (Riedel) que presentan fracturas de cizalla secundarias estriadas del tipo R o del tipo R’ con respecto al sentido de movimiento de la falla.

Criterios P: Incluye fallas con fracturas secundarias estriadas de orientación P, que presentan bajo ángulo respecto del plano principal pero opuesto a la orientación de R. Las fracturas de tensión son T.

Fuente: Hans Niemeyer R. (1999). Apuntes de Geología Estructural

Secciones Geológicas

08 de marzo 2022

La correlación se define como la determinación de unidades estratigráficas o estructurales equivalentes en tiempo, edad o posición estratigráfica. Con el propósito de preparar mapas del subsuelo y secciones, las dos fuentes principales de data de correlación son las secciones sísmicas y los registros de pozos. Fundamentalmente, las curvas de registros de pozos son empleados para delinear los límites de las unidades del subsuelo en la preparación de mapas del subsuelo y secciones. Estos mapas y secciones son usados para desarrollar una interpretación del subsuelo con el propósito de explorar y explotar reservas de hidrocarburos.

Después de la preparación de un pozo y de un mapa base sísmico, el trabajo de correlación sísmica y de registros eléctricos es el próximo paso en el proceso que conduce a un detallado estudio geológico y geofísico. Una correlación perfecta es sumamente necesaria para una interpretación geológica segura.

Fuente: Ing. Edgar Chacín.

Atenuación de las Ondas de Coda

22 de febrero 2022

Chouet (1979) definió como "coda" a la señal que se registra después de la llegada de las ondas de mayor amplitud (P, S y superficiales). Las ondas coda, al igual que otras ondas sísmicas en su paso por el interior de la tierra experimentan la atenuación de su amplitud, debido a dos factores fundamentales, las condiciones inelásticas del medio y a la dispersión de las ondas en las heterogeneidades con las que tropiezan. Una forma de determinar la atenuación de las ondas coda es mediante el análisis del factor de calidad que se entiende como el parámetro inverso de la atenuación. En el estudio de L. Velarde y H. Tavera, se determina el factor de calidad de las ondas coda (Qc) para el borde suroccidental del Perú a partir del modelo propuesto por Aki y Chouet (1975). Los perfiles de isovalores de Qc para 4 Hz, indican que la atenuación es mayor entre la fosa y el arco volcánico, sugiriendo estar asociada a la acumulación de magma y a las altas temperaturas que absorben la energía de las ondas sísmicas. En la figura se observa el Mapa de perfiles (líneas negras) en el mapa de isovalores de Qc para la frecuencia central de 4 Hz. El perfil A corresponde a la zona sin presencia de volcanes, los valores de Qc son mayores a 600, definiendo zonas de menor atenuación. Los perfiles B, C y D trazados sobre la zona volcánica presentan la misma forma y valores bajos de Qc (menores de 600); es decir, la alta atenuación está presente a lo largo de la costa y hacia el interior del continente paralelo a la cadena volcánica.

Fuente: L. Velarde y H. Tavera (2016). Determinación y análisis del factor de calidad de las ondas coda (Qc) en el borde suroccidental del Perú. Boletín de la Sociedad Geológica del Perú, v. 111, p. 009-018.

Correlación de Curva GR y Gráfico ROP

15 de febrero 2022

La Figura 1, está integrada por cuatro pozos, C-9, M-20, SS-61 y Si-87, de diferentes campos, cada uno contiene las curvas de Gr y ROP. La curva de Gr permite identificar el tope/cima de la formación Escandalosa por la disminución evidente de los valores API, en contraste a los de la unidad suprayacente, Miembro La Morita. La correlación se puede efectuar sin inconvenientes. Por otro lado, los gráficos de ROP muestran al inicio de la Formación Escandalosa el aumento de la ROP. El pozo Si-87 posee mayor ROP que el SS-61, luego el pozo SS-61 es mayor que el M-20 y así sucesivamente, sedimentológicamente, hacia el sur la Fm Escandalosa se hace más arenosa y al norte más calcárea. Este contraste bien marcado de la ROP permitirá por ejemplo, establecer la profundidad para la toma de núcleos, el asentamiento del revestidor para completar el yacimiento a hueco abierto, entre otros.

Fuente: Revista GEOMINAS Volumen 47 Número 48 (2019). Autores: Edgar Chacín y Franklin Rodriguez.

Figura 1. Técnicas de diferenciación litoestratigráfica durante el control geológico- operacional de un pozo.

El Backstripping

01 de febrero 2022

El backstripping es una técnica de modelado que sirve para evaluar la historia geológica de las capas de roca mediante el uso de secciones transversales geológicas o secciones sísmicas. Se utiliza para estimar cuantitativamente la profundidad que tendría el basamento en ausencia de sedimentos y carga de agua. Permite recuperar el historial de subsidencia y levantamiento del basamento en ausencia de sedimentos y carga de agua y, por lo tanto, aislar la contribución de las fuerzas tectónicas responsables de la formación de una cuenca de rift. La figura 1 es de un trabajo de investigación, realizado por Liao J. et al. En donde emplearon la técnica de modelado backstripping al Baiyun Sag que es el hundimiento más profundo en la Cuenca de la Boca del Río Pearl en el margen continental norte del Mar de China Meridional, para analizar la subsidencia post-rift y se muestra el perfil actual y los perfiles retroalimentados a diferentes épocas.

Fuente: Liao J., Zhou D., Zhao Z., Zhang Y. & Xu Z. (2011). Numerical modeling of the anomalous post-rift subsidence in the Baiyun Sag, Pearl River Mouth Basin. Sci China Earth Sci, 2011, 54: 1156–1167.

Figura 1. Ejemplo de Backstripping la Cuenca de la Boca del Río Pearl.

Descomposición Espectral

25 de enero 2022

La descomposición espectral se basa en la respuesta en frecuencia que tiene la reflexión de una capa delgada en el subsuelo; dicha respuesta es un indicador del espesor de la capa en tiempo. Esta es una poderosa herramienta para mapear espesores de capas, así como discontinuidades geológicas (Partyka, Gridley y López, 1999). Para un mejor análisis, es recomendable trabajar con la metodología de RGB, buscando la mejor combinación de frecuencias que pudiesen resaltar anomalías en frecuencia, geometrías de geocuerpos que pudieran estar relacionados al ambiente de la formación de interés.

En la Figura 1, se presenta un Stratal Slice de la Formación Salina en la Cuenca Talara, mostrando la combinación RGB de 16 Hz, 20.5 Hz y 33.5 Hz, que resaltó los rasgos estratigráficos más representativos de la Formación de interés. Se puede apreciar también fallas interpretadas que enmarcan algunos geocuerpos de interés.

Fuente: CARACTERIZACIÓN GEOFÍSICA DE LA FORMACIÓN SALINA, EN EL CAMPO SANTA TERESA, CUENCA TALARA – PERÚ. Tesis de Maestria. Ana Zola Chonón Núñez

Figura 1. Stratal Slice de la Formación Salina en la cuenca Talara, mostrando la combinación RGB de 16 Hz, 20.5 Hz y 33.5 Hz.

Punto de Fuga

18 de enero 2022

Según (Levorsen, 1973) los petróleos son mezclas extremadamente complejas de muchos hidrocarburos que se dan en series homólogas, no hay dos petróleos iguales en su composición. Cada hidrocarburo tiene su carácter particular, el cual puede variar por la interacción con la roca, con los fluidos, la temperatura y presión. Cuando un crudo permanece por un determinado tiempo geológico en un yacimiento, tiene tiempo para homogeneizarse, adquirir ciertas características propias de éste, en especial su fracción liviana, debido a su mayor movilidad y reactividad química. Los yacimientos, aunque sean de una misma edad y misma litología, presentaran pequeñas diferencias, tales como contenido de finos, cementos, otros; además, cada yacimiento puede ser afectado diferencialmente por factores como: lavado por agua, biodegradación, entre otros. La coalescencia producto discordancias angulares, trae como consecuencia la posible comunicación de unidades de flujo con propiedades físicas, químicas, estratigráficas y sedimentológicas totalmente diferentes, por la destrucción del sello, esto es conocido como: punto de fuga controlado estratigráficamente (Biddle et al, 1994)

Fuente: (Chacín & Berrios, 2012) VIII Congreso Geológico de España.

Identificación de la distribución de crudos, utilizando el método geoquímico "huella dactilar" en las Formaciones Guafita y Navay, campo La Victoria, cuenca Barinas – Apure, Venezuela.

El Balanceo de Secciones Estructurales

11 de enero 2022

Las secciones balanceadas han ayudado a entender estructuras y relaciones complejas en cinturones de pliegues y cabalgaduras. En la actualidad se considera que una sección estructural está balanceada si es consistente con las condiciones de frontera y, además, minimiza el principio de conservación de masa. El balanceo de una sección se formula como un problema de retrodeformabilidad que debe satisfacer las leyes estratigráficas de Steno. Esto es de aplicación inmediata en la industria del petróleo debido a que los cinturones orogénicos contienen estructuras ideales para acumular y producir hidrocarburos. La imagen corresponde a una sección estructural del anticlinal del Valle Powell en Tennessee, EE.UU., es un ejemplo clásico en la literatura de secciones balanceadas. El orden de activación de las fallas en este modelo estructural balanceado ocurrió en la dirección del transporte tectónico.

Fuente: Contreras. J (2010). Un aborde euleriano al problema del balanceo de secciones geológicas estructurales. Revista Mexicana de Ciencias Geológicas, v. 27, núm. 1, 2010, p. 18-31.

Sección estructural del anticlinal del Valle Powell en Tennessee, EE.UU, que ejemplifica el balanceo de secciones

Predicción de Presión de Poro a partir de Datos Sísmicos 3D

04 de enero 2022

El propósito de este estudio fue proporcionar una predicción de la presión de poros, a partir del uso de datos sísmicos provenientes de secuencias clásticas con reservas potenciales de gas (Miembro de la secuencia estratigráfica Qusaiba y la Formación Sarah subyacente). El área de interés (AOI) se encuentra en el noroeste de Arabia Saudita, y cubre una extensión aproximada de 1600 km2 de datos 3D migrados en tiempo antes de apilado (PSTM). El flujo de trabajo de predicción de presión de poros consta de tres pasos principales: acondicionamiento antes de apilado de datos sísmicos, calibración de velocidades sísmicas con registros sónicos y de densidad en pozos vecinos, generación de relaciones empíricas del esfuerzo efectivo vs. Velocidades, y predicción de presión de poros basada en modelos estratigráficos de velocidades sísmicas.

Tres pozos en el AOI se utilizan para calibrar el modelo de velocidades y densidades provenientes de la sísmica. De la misma manera, perfiles de pesos de lodo de perforación y reportes de historia perforación se incorporan para calibrar las presiones de poro modeladas a partir de la sísmica. Como resultado, las variaciones del gradiente de presión de poro en el Miembro de Qusaiba y la Formación Sarah son mapeados en el AOI. Secciones sísmicas 2D se utilizan en este estudio para extrapolar los resultados de la predicción de presión de poro a ubicaciones de pozos satelitales fuera del área sísmica 3D. Los mapas de presión de poros resultantes para Qusaiba y la Formación Sarah resaltan los posibles riesgos de perforación en el área de estudio (AOI). Es importante destacar que las áreas de mayor presión de poros pueden representar en última instancia áreas potenciales de mayor acumulación de gas (es decir, “sweet spots”).

El presente trabajo fue la primera aplicación de la predicción de la presión de poros en prospectos no convencionales en Arabia Saudita (Aramco), y marca un punto de partida para la realización y continuación de estudios posteriores en el modelado y predicción de Poros y posteriores análisis de Estabilidad de Hoyos.

Fuente: Daniel Mujica y Abdulfattah Aldajani, Saudi Aramco. Publicado y presentado en la Reunión Anual de la SEG Houston 22 -27 septiembre, 2013.

Figura 01. Izquierda: Flujo esquemático de trabajo utilizado para la Predicción de Presión de Poros. Derecha: Sección Transversal mostrando resultados de la Presión de Poros modelada en el área, a través de tres pozos existentes en el AOI.

Modelos de velocidad de ondas P y ondas S

21 de diciembre 2021

Para obtener un modelo de velocidades de ondas P y ondas S, se realiza la inversión de tiempos de viaje considerando arribos de ondas P y ondas S. Los autores Venerdini, A., Sánchez, G., Alvarado, P., Bilba, I., Ammirati, J.-B, obtuvieron un modelo cortical (1D) de velocidades sísmicas de ondas P y ondas S para la corteza sísmica del terreno Cuyania en el retroarco andino, y para la determinación de este modelo de corteza se utilizaron los datos de 514 sismos locales de magnitudes 0.8 < ML < 4.8 ocurridos entre 1996 y 2014. En la figura se observa el modelo de estructura cortical de velocidades sísmicas de ondas P (Vp), ondas S (Vs) y relación Vp/Vs obtenido en este estudio comparado con otros modelos de velocidades propuestos por otros autores utilizando otras técnicas geofísicas. La alta relación Vp/Vs para los niveles superiores de la corteza serían indicativos de una mayor fracturación del terreno Cuyania, que favorece una disminución en los valores de Vs observados y generación de sismicidad, en comparación con los niveles de corteza más profundos. Este modelo también nos permite lograr un mejor ajuste de los tiempos de viaje de ondas P y S y, por lo tanto, mejorar la precisión de las localizaciones de sismos cuyos epicentros quedan comprendidos en la zona de estudio.

Fuente: Venerdini, A., Sánchez, G., Alvarado, P., Bilba, I., Ammirati, J.-B. (2016). Nuevas determinaciones de velocidades de ondas P y ondas S para la corteza sísmica del terreno Cuyania en el retroarco andino. Revista Mexicana de Ciencias Geológicas, v. 33, núm. 1, 2016, p. 59-71.

Correlación de la curva Gamma Ray (GR) con afloramientos

14 de diciembre 2021

En la industria petrolera, el geólogo utiliza los registros de pozos, núcleos, muestras de canal y afloramientos para establecer correlaciones y así en conjunto con los gráficos de calcimetría y parámetros operacionales, poder determinar la posición estratigráfica de un pozo durante la fase de perforación. En cuanto a los registros, la curva de rayos gamma (GR) es la más importante, debido a que permite caracterizar la electrofacies de la roca reservorio e interpretar los cuerpos sedimentarios tales como canales y barras, así como también la roca sello. También se pueden realizar ejercicios prácticos para correlacionar afloramientos de los cuales se tengan conocimientos y estudios previos. En la imagen, se muestra un ejemplo de una correlación que permitió relacionar los cuerpos sedimentarios aflorantes con las electrofacies del sondeo, y de esta manera, comprender mejor la relación roca-perfil.

Fuente: Revista GEOMINAS Volumen 41 Número 60 (2013). Autores: Edgar Chacín y Esteves Amarilis.

Correlación de formaciones Cenozoicas mediante registro de rayos gamma de sondeo y afloramientos, en el embalse de Tucupido del Estado Portuguesa, Venezuela.

El Método Gravimétrico

07 de diciembre 2021

El método gravimétrico tiene como finalidad descubrir y medir las variaciones laterales de la atracción gravitatoria del suelo, las cuales se encuentran relacionados a cambios de densidades próximos a la superficie (Dobrin, 1980). Es por esa razón que este método permite estudiar estructuras geológicas en el subsuelo y su composición, además de la estructura interna de la corteza terrestre, debido a la diferencia de densidades.

Se conoce como Anomalía Gravimétrica a la diferencia entre el valor real de la aceleración de la gravedad medido en una localización y el valor pronosticado por un modelo particular del subsuelo. La anomalía de Bouguer, es el valor remanente de la atracción gravitacional después de dar cuenta de la atracción gravitacional teórica en el punto de medición, la latitud, la cota, la corrección de Bouguer y la corrección de aire libre (que compensa por el efecto de la altura sobre el nivel del mar, asumiendo que sólo existe aire entre la estación de medición y el nivel del mar). Esta anomalía recibe su nombre del matemático francés Pierre Bouguer (1698-1758), que demostró que la atracción gravitacional se reduce con la altitud.

En la siguiente figura se muestra la Anomalía de Bouguer Total, Regional y Residual, cada una aportando información precisa de la zona de trabajo que representa una extensa área de la Cuenca Talara, que corresponde a una zona de subducción. Específicamente nos encontramos en la zona de transición entre la Placa Sudamericana y la Placa de Nazca, esta última subduce a la Placa Sudamericana con una pendiente característica de una subducción sub-horizontal, empezando con 25 ° hasta alcanzar una profundidad de 120 km a partir de la cual empieza un desplazo horizontal, (Bernal y Tavera, 2002). El mapa muestra altos gravimétricos entre las Latitudes -6° y -5.75°, -5.50° y -5° y -4.75° y -4.25°, que está relacionado al Macizo Amotapes, aloctono y de edad Paleozoico. Este Macizo aflora, como es sabido, en el Alto de Bayovar, el Alto de Paita y el Alto Negritos, en orden S-N, por lo tanto, es posible indicar que la ubicación de estos altos gravimétricos identifique el borde de la Placa Sudamericana en el área de estudio.

Fuente: Chonón A. (2017). Interpretación Integrada de Datos Geofísicos en la Cuenca Talara.

De izquierda a derecha, Anomalía de Bouguer Total, Regional y Residual de gran parte de la Cuenca Talara (Perú).

Fallas Lístricas con Superficie de Detachment

30 de noviembre 2021

Las fallas lístricas están caracterizadas por disminuir su buzamiento conforme aumenta la profundidad, volviéndose semi-horizontales cuando la falla alcanza unidades estratigráficas dúctiles (Shelton, 1984). Existe rotación de bloques en la parte superior de la falla debido a un desplazamiento gravitacional, el cual es descargado a lo largo de la superficie semihorizontal que a partir de ahora denominaremos superficie de “detachment” en analogía con lo que ocurre en fajas plegadas en régimen compresivo (Gibbs, 1984).

Para la cuenca de antearco de Talara al noroeste del Perú, los investigadores J. Rojas y K. Andamayo, mediante la interpretación sísmica (Sección A‐A’ en el borde sur de la sub‐cuenca Lagunitos), sugieren que la posible evolución estructural de esta sub-cuenca viene controlada, primeramente, por movimientos de fallas de rumbo tanto al norte como al sur generando el depocentro Lagunitos. En la imagen, se observa la presencia de dos importantes fallas lístricas; la falla FL1 genera una superficie de detachment en las secuencias arcillosas cretácicas de la Fm Montegrande, así también ésta corta a la Falla Paita (FP) en la parte superior, la falla FL2 disminuye su ángulo de buzamiento en el Grupo Talara, aumentando el ángulo de buzamiento al pasar por la Formación Chacra. Se puede observar como las fallas lístricas dividen bloques con una rotación y fallamiento diferenciado.

Fuente: J. Rojas y K. Andamayo (2015). Evidencias de Superficies de “Detachment” asociadas a Fallas Lístricas al Sur de la Sub-Cuenca Lagunitos. Cuenca Talara.

Sección interpretada A‐A’, en el borde sur de la sub‐cuenca Lagunitos, mostrando fallas lístricas con superficie de detachment.

Migración de Hidrocarburos

23 de noviembre 2021

Al inicio de su maduración, la materia orgánica marina preservada en la roca madre se convierte en kerógeno. A medida que aumenta la profundidad y la temperatura, se enriquece con hidrógeno y carbono, para formar los hidrocarburos.

Un sistema petrolero abarca la roca generadora activa, el petróleo relacionado genéticamente y las acumulaciones de gas (Magoon et al, 1994), es decir incluye todos los elementos y procesos geológicos que son esenciales para que exista un reservorio. Uno de esos procesos claves es la migración. Originalmente, la roca generadora produce petróleo liviano, que al abandonar la cocina, migrará para formar un yacimiento, en caso de no encontrar algún sello, migrará verticalmente a través de fracturas naturales y fallas para formar una manifestación de superficie, sin embargo el recorrido de la migración es uno de los factores que puede afectar de manera directamente proporcional la gravedad API, si es de corta distancia, se notará una pequeña diferencia entre las gravedades API del crudo generado y el crudo del yacimiento, es decir seguirá siendo liviano, por el contrario si la migración es de distancias relativamente largas (Levorsen, 1973), puede afectarla degradando la gravedad API a un crudo de mayor densidad.

Fuente: Revista GEOMINAS Volumen 44 Número 71 (2016). Autor: Ing. Edgar Chacín

Distribución regional de los crudos en la Cuenca Barinas, Venezuela.

© Copyright 2021 A & P Soluciones en Ciencia y Tecnología S.A.C.
Política de Privacidad - Términos & Condiciones